Cómo la automatización de la IA ha creado un ejército de reserva de trabajadores de veintitantos años
Eric Huang (SUBSTACK DEL AUTOR), 6 de Febrero de 2026
Si toda la clase del trabajador asalariado fuese aniquilada por la maquinaria, ¡qué terrible sería para el capital, que sin trabajo asalariado deja de ser capital!
– Karl Marx, “Trabajo asalariado y capital”, 1847
Entre los recién graduados de la Generación Z, la palabra «trabajo» se ha convertido en una palabra ofensiva. En noviembre de 2025, la tasa de desempleo para los estadounidenses de entre 16 y 24 años era del 10,6 %, más del doble de la tasa nacional del 4,6 %. Para ponerlo en perspectiva, su tasa en febrero de 2021 era del 10,9 %. 1 Los estadounidenses de la Generación Z que se incorporan al mercado laboral apenas tienen mejores resultados que los del mismo grupo de edad en el punto álgido de la pandemia.
¿Yo? Me gradué la primavera pasada. Después de pasar meses buscando desesperadamente, tuve la suerte de que me ofrecieran dos puestos de asistente legal. Pero una de las ofertas se agotó, así que, en realidad, solo me quedé con uno. Sé que algunos graduados siguen buscando.
¿A qué se debe todo esto? Como muchos fenómenos económicos, es complicado, pero el culpable más obvio y principal es la IA. Los empleos de nivel inicial en Estados Unidos han disminuido un 35 % desde enero de 2023, pocos meses después del lanzamiento de ChatGPT. 2 Los sistemas de IA están absorbiendo puestos de desarrollo de software, atención al cliente y administrativos de baja cualificación, tradicionalmente reservados para jóvenes graduados. La programación, la entrada de datos y el correo electrónico que antes realizaba un asistente legal ahora se pueden automatizar. Incluso los estudiantes de informática, a quienes se les prometieron abundantes oportunidades después de graduarse, tienen dificultades debido a las mismas herramientas de IA que usaban para completar sus tareas de programación en la universidad. Recuerdo haber visto algunos reels de Instagram sobre esto:
¡Gracias por leer De-alienación! Suscríbete gratis para recibir nuevas publicaciones y apoyar mi trabajo.Suscrito

Este fenómeno respalda los principios que Marx advirtió en la lógica del capitalismo hace casi dos siglos.
la relación inversa entre salarios y capital
El capitalista desea vender sus productos con las mayores ganancias posibles, pero debe hacerlo compitiendo con otros capitalistas. Busca constantemente reducir el costo de producción mediante el desarrollo de nuevas tecnologías, lo que excluye a sus competidores del mercado. A primera vista, puede parecer que una mayor eficiencia tecnológica facilita la vida de los trabajadores, pero en realidad produce el efecto contrario. Dado que una máquina permite a un solo trabajador hacer lo que antes requerían varios, reduce el número de empleos. El consiguiente ejército de reserva de desempleados provoca el aumento de la competencia laboral y la caída de los salarios. Los pocos empleos que aún se ofrecen son tareas domésticas más sencillas en una división del trabajo más sofisticada. Estas tareas requieren menor cualificación y contribuyen a la reducción de los salarios.
Debido a que la automatización ha asumido los empleos administrativos básicos que la Generación Z esperaba tener después de la universidad, los estratos más bajos de la escala profesional han desaparecido. Esto ha resultado en la expansión de la reserva laboral para incluir a sectores más amplios de la clase media de la Generación Z con educación universitaria. Incluso los adultos jóvenes con títulos en campos supuestamente lucrativos se encuentran subempleados, incluyendo el 16,5% de los que trabajan en Informática e Ingeniería Química. 3 (Si solo estudiaste humanidades, olvídalo). Algunos incluso están recurriendo a ocupaciones poco cualificadas y mal remuneradas en comercio minorista y restaurantes de comida rápida, que no tienen relación con su área de estudio.
Una educación universitaria solía ser una credencial importante que encaminaba a una persona a convertirse en un profesional de oficina bien remunerado. Ahora, cada vez más empleadores afirman que la educación universitaria no importa, ya que cualquiera que sepa usar Gemini puede hacer lo mismo que a otra persona le llevó cuatro años de escuchar, por ejemplo, clases de informática. Incluso la esperanza de que la programación de IA se convierta en un mercado lucrativo es errónea, ya que la IA podría eventualmente autoinventarse y ser completamente autónoma. 4 Si eso sucede, sin duda se producirá una crisis económica de proporciones sin precedentes.
Lo que observamos respalda la predicción de Marx de que la expansión del capital provocaría el reclutamiento del proletariado de las clases altas de la sociedad; los hijos de la pequeña burguesía (pequeños empresarios, comerciantes, médicos, abogados) no podrían competir con el gran capital y unirse a las filas del proletariado. A medida que el capital crece, «el bosque de brazos extendidos, pidiendo trabajo, se hace cada vez más denso, mientras que los brazos mismos se vuelven cada vez más flacos». 5
la tendencia de la tasa de ganancia a caer
El fenómeno de la IA que elimina empleos refleja la lógica interna de expansión del capital mediante la inversión en automatización en lugar de mano de obra. Como señalamos, los capitalistas actúan así para reducir los costos de producción y maximizar las ganancias. Sin embargo, Marx argumenta en El Capital, vol. 3 , que esta dinámica conduce a una rentabilidad decreciente y a crisis periódicas a largo plazo, ya que socava la base del valor en la sociedad capitalista: la fuerza de trabajo.
Para entender lo que esto significa, tendremos que analizar la economía política marxista.
Cuando un capitalista introduce una máquina que reduce el coste de producir una yarda de lino de 1,00 $ a 0,50 $, mientras que sus competidores aún lo fabrican al mismo coste, se ve incentivado a vender el producto a un precio ligeramente inferior al precio de mercado a largo plazo de 1,00 $ (por ejemplo, 0,90 $). De esta forma, sus competidores quedan fuera del mercado mientras él aún mantiene buenos márgenes. (Si vendiera a un precio demasiado cercano a su nuevo coste de producción, no obtendría más beneficios que sus competidores). Hasta aquí nada sorprendente. Síganme.
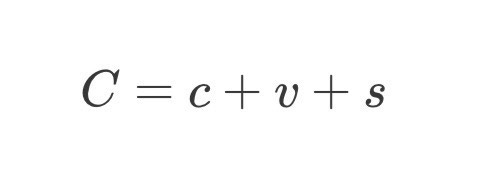
El precio de cualquier producto se divide en tres componentes:

donde C es el precio de la mercancía, c es la cantidad para reemplazar el capital constante (maquinaria, materias primas), v es la cantidad para reemplazar el capital variable (trabajo asalariado), y s es el plusvalor (ganancia para el capitalista). En el ejemplo del lino, digamos que el valor de la maquinaria es c = $0.30 y el valor de la fuerza de trabajo es v = $0.20. Así es como obtenemos el costo de producción de $0.50. Esto deja s = $0.40 para el capitalista. Según la Teoría del Valor Trabajo, el capital variable (es decir, el trabajador vivo que trabaja y da su vida a la maquinaria) produce todo ese plusvalor, mientras que el capital constante simplemente transfiere pero no produce ningún valor nuevo ya que es trabajo muerto (es decir, es maquinaria, un producto del trabajo que ya se ha hecho ). Para asegurar que el capitalista obtenga una ganancia, el trabajador nunca recibe en salario el valor total de su producto. Por lo tanto, es explotado. Su tasa de explotación puede medirse por la relación entre s y v .
Tenga en cuenta que es irrelevante que el producto del trabajo sea un objeto físico o un servicio. Todo lo anterior aplica tanto a los trabajadores de las fábricas de lino que están siendo reemplazados por telares como a la Generación Z que está siendo reemplazada por la IA. Los productos del trabajo pueden ser correos electrónicos enviados, citaciones redactadas, horas dedicadas a la docencia, proyectos de codificación finalizados, clientes atendidos, etc.
Para vencer a la competencia, los capitalistas se esfuerzan por emplear tecnología más eficiente, despedir a más trabajadores y vender productos a precios más bajos. Eso es lo que estamos viendo ahora mismo. La burbuja de la IA alimenta esta frenética carrera hacia el abismo. La ventaja de mercado que cualquier empleador podría haber tenido al adoptar la automatización fue efímera, ya que los competidores inevitablemente adoptan el nuevo método de producción para evitar la quiebra. La decisión de los empleadores de reducir los puestos de nivel inicial en favor de la IA puede entenderse como su creciente inversión en capital constante (que no produce valor nuevo) en relación con el capital variable (que crea plusvalía). Este es un proceso capitalista común que Marx llamó la creciente composición orgánica del capital (es decir, la creciente relación entre c y v ). Argumentó que estaba inherentemente cargado de crisis. Si la tasa de ganancia es así,

Entonces, trasladar las inversiones a c mientras se las retira de v provoca la tendencia decreciente de la tasa de ganancia. La contradicción inmanente del capitalismo es su impulso a corto plazo de subsumir el trabajo vivo en trabajo muerto, a pesar de depender, a largo plazo, de la fuerza de trabajo viva para la producción de plusvalía. El capitalista hace un pacto fáustico para obtener ganancias temporales. Por eso el capitalismo siempre ha tenido crisis periódicas y parece que nos encaminamos hacia otra en la era de la IA.
Los empleadores han intentado contrarrestar la tendencia a la baja de la tasa de ganancia mediante diversas medidas para maximizar la explotación del excedente de mano de obra de los trabajadores de la Generación Z, como prolongar las horas de trabajo o intensificar la jornada laboral por el mismo salario. Esto explica por qué la Generación Z que tiene trabajo se siente sobrecargada con mayor frecuencia que sus predecesores. 6 A medida que la tasa de ganancia disminuye, aumentan los sentimientos de alienación y agotamiento, junto con una mayor presión y un mayor abuso por parte de los supervisores.
automatización total, fin de la creación de valor y colapso
El límite hipotético del aumento de la Composición Orgánica del Capital es la automatización total . Olvídense de los empleos administrativos de nivel inicial. Todos los empleos podrían eventualmente ser reemplazados. A medida que la IA se vuelve más inteligente, podría asumir puestos corporativos y legales de alto nivel, por no hablar de puestos en comercio minorista, servicios de alimentación, educación y otros puestos de trabajo manuales (algo que ya ha hecho masivamente, provocando la ansiedad económica que hemos visto expresar a los votantes manuales de ambos partidos en las últimas elecciones).
¿Qué sucede si la economía se automatiza por completo? ¿Qué sucede si v llega a 0? Marx realizó este experimento mental en el “Fragmento sobre las máquinas” de los Grundrisse . Escribe sobre “las fuerzas productivas generales del cerebro social”, sobre “la maquinaria viva (activa), que se enfrenta a las insignificantes acciones individuales [del trabajador] como un organismo poderoso”. 7 Algunos teóricos del postrabajo han interpretado el fragmento de Marx como el presagio de una utopía del ocio totalmente automatizada. Los creadores del aceleracionismo de izquierda, Nick Srnicek y Alex Williams, presentaron esta interpretación en su libro de 2015 Inventando el futuro: poscapitalismo y un mundo sin trabajo.
Ciertamente, la automatización total bajo el capitalismo requeriría su colapso espontáneo; bajo el capitalismo, solo la fuerza de trabajo puede crear plusvalía. Incluso si concediéramos a la IA cierta capacidad mística para generar plusvalía, los capitalistas no podrían vender sus mercancías porque todos estarían desempleados y sin dinero. Este es el escenario extremo de lo que los economistas llaman la crisis de realización. Sin un mercado que se realice, la plusvalía se quedaría inactiva y se desvanecería.
Pero hay razones para dudar de que la automatización total pueda ocurrir alguna vez mientras persistan las relaciones capitalistas de producción. Los capitalistas han evitado este escenario, para bien o para mal, desde la Revolución Industrial. Los avances tecnológicos previos crearon nuevos empleos para reemplazar los obsoletos y más. 8 No creo que la locura de la IA sea una excepción a esta regla. Incluso ignorando el problema de la insostenibilidad energética y el hecho de que la IA es una burbuja, el capital y el trabajo asalariado se presuponen mutuamente. El capital nunca renunciaría voluntariamente a la condición necesaria para su existencia continua. Si la IA elimina empleos, el capital se verá obligado a crear nuevos empleos, empleos de mierda si es necesario. 9 Incluso Marx admitió que el aumento de la composición orgánica del capital a menudo ocurre en tándem con un aumento en el valor absoluto del capital variable. En otras palabras, los salarios nominales podrían aumentar y más personas podrían ser empleadas mientras que los salarios relativos, es decir, la proporción de la participación de la clase trabajadora en las ganancias, disminuye.
Aunque suene paradójico, el desempleo y la proletarización ocurren juntos como partes del mismo proceso dialéctico. 10 La toma de control de la maquinaria, el crecimiento natural de la población y la ampliación del ejército de reserva de mano de obra para incluir a la pequeña burguesía con educación universitaria contribuyen a un mayor desempleo; pero al mismo tiempo que la creciente inversión en capital constante reduce los empleos, los sectores existentes o de nueva creación absorberán a los nuevos participantes. Vemos esto en el aumento de la tasa de la Generación Z que se dedica a oficios 11 o simplemente se conforma con el subempleo. Dicho esto, el desempleo de la Generación Z continuará debido al desajuste entre las expectativas profesionales de clase de la pequeña burguesía de la Generación Z y la realidad material actual. Seguiremos siendo pasto para el ejército de reserva de mano de obra.
El aumento del desempleo en la Generación Z es solo el comienzo de una tendencia que eventualmente afectará a todos los niveles laborales y generaciones. La IA tiene el potencial de impulsar la causa de la liberación humana; las aspiraciones utópicas de los teóricos del postrabajo no carecen de fundamento. Pero mientras persistan las relaciones de producción capitalistas, las fuerzas productivas de la IA no tendrán la capacidad de automatizar todo el empleo, ni se desarrollarán sin causar daños y sufrimiento ambiental indebidos. Sigue siendo, como lo ha sido durante dos siglos, responsabilidad de la clase trabajadora aprovechar la vasta gama de fuerzas productivas y dirigirlas de forma sostenible para el bien de la humanidad.
¡ Organizate !
Foto en miniatura: Diego Rivera, Detroit Industry , pared norte, 1933, Instituto de Arte de Detroit, Detroit, Michigan, EE. UU.
Banco de la Reserva Federal de San Luis, Oficina de Estadísticas Laborales de EE. UU. va FRED, Tasa de desempleo de 16 a 24 años, https://fred.stlouisfed.org/series/LNS14024887
“La IA no solo está acabando con los empleos de nivel inicial. Es el fin de la carrera profesional tal como la conocemos”, CNBC, https://www.cnbc.com/2025/09/07/ai-entry-level-jobs-hiring-careers.html, 7 de septiembre de 2025.
Banco de la Reserva Federal de St. Louis, “Los empleos y títulos que tienen los graduados universitarios subempleados”, https://www.stlouisfed.org/open-vault/2025/aug/jobs-degrees-underemployed-college-graduates-have.
“La IA que puede inventar IA ya está aquí. ¡Abróchense los cinturones!”, Forbes, https://www.forbes.com/sites/robtoews/2024/11/03/ai-that-can-invent-ai-is-coming-buckle-up/, 3 de noviembre de 2024.
Trabajo asalariado y capital: efecto de la competencia capitalista sobre la clase capitalista, la clase media y la clase trabajadora , Karl Marx, //www.marxists.org/archive/marx/works/1847/wage-labour/ch09.htm, diciembre de 1847.
“La Generación Z se está agotando en el trabajo más que cualquier otra generación: aquí explicamos por qué y qué se puede hacer”, https://theconversation.com/gen-z-is-burning-out-at-work-more-than-any-other-generation-heres-why-and-what-can-be-done-270237, 8 de diciembre de 2025.
Grundrisse : Cuaderno VI/VII – El Capítulo sobre el Capital, Karl Marx, https://www.marxists.org/archive/marx/works/1857/grundrisse/ch13.htm.
Ciertamente, la reacción de Marx a la Revolución Industrial no fue tanto una especulación sobre la automatización total como un análisis de la creciente proletarización de las masas.
Un guiño a David Graeber.
El economista turco M. Arif Kosar presenta un argumento convincente al respecto en el artículo «Marx, la automatización y el futuro del trabajo» (2024) publicado en el Global Labour Journal . Marx también mantuvo siempre este punto.
“La Generación Z está abandonando sus carreras universitarias por carreras manuales”, CNBC, https://www.cnbc.com/2025/04/24/gen-z-workers-opt-out-of-college-and-go-into-trades.html, 24 de abril de 2025.
Deja un comentario